新年伊始
北航科研再传捷报
2024年1月10日
北京航空航天大学物理学院
金文涛副教授课题组与合作者
在阻挫量子磁性材料领域
取得重要研究进展
相关成果发表于《Nature》


2024年1月10日,《Nature》杂志在线全文发表了北京航空航天大学物理学院金文涛副教授课题组与合作者在阻挫量子磁性材料方面的最新研究成果:“Giant magnetocaloric effect in spin supersolid candidate Na2BaCo(PO4)2”。
共同第一作者:中科院物理所博士后项俊森(北航博士毕业生),北航物理学院在读博士生张传迪、高源
共同通讯作者:北航物理学院金文涛副教授,中科院理论物理研究所/北航-理论所彭桓武科教合作中心李伟研究员,中科院物理所孙培杰研究员,中国科学院大学苏刚教授
1月11日
央视新闻报道
我国科学家实现
无液氦极低温制冷研究突破

极低温制冷是我国科研领域
亟待攻克的关键核心技术之一
这次基础研究的突破
是国际上在实际固体材料中
首次给出超固态存在的实验证据

这是一项怎样的技术?
小萱这就为大家介绍——
超固态的概念由诺贝尔物理奖得主、英国科学家A. Leggett于1970年提出,是一种在接近绝对零度时涌现出的新奇量子物态,兼具固体和超流体的特征。目前,除了冷原子气的模拟实验外,人们一直未能在固态物质中找到超固态存在的可靠实验证据。近年来,阻挫量子磁性理论与实验研究的蓬勃发展为寻找基于自旋系统的超固态提供了新机遇。最近,金文涛课题组与物理所、理论所、国科大团队合作者在钴基三角晶格磷酸盐Na2BaCo(PO4)2中首次发现同时具备自旋固态和自旋超流体特征的“自旋超固态”这一新奇量子物态的存在证据,并观察到由此导致的、可实现极低温制冷的巨磁卡效应。
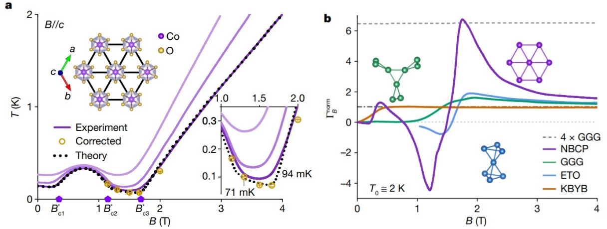
通过绝热去磁过程,团队发现在量子临界点Bc3附近,Na2BaCo(PO4)2单晶的温度急剧下降,可以到达94mK的最低制冷温度,磁场驱动的温度下降速率(格林奈森参数)约为商用制冷工质Gd3Ga5O12 的四倍(图1)。由于其卓越的制冷性能来自于自旋超固态下强烈的量子自旋涨落,因此该效应可被称为 自旋超固态巨磁卡效应,这是一种全新的制冷原理。

此外,金文涛课题组利用所生长的大尺寸单晶,开展了极低温下的中子衍射实验。实验成功观察到由面外磁场驱动的三次量子相变,确认了钴离子自旋面外分量所形成的三子格长程序(即固态序),并通过由无能隙激发和微弱的层间相互作用共同导致的非公度磁峰实现了对超流序的间接探测(图2)。中子衍射实验结果与团队合作者的理论计算结果高度一致,提供了该材料中存在自旋超固态的重要微观证据。

图2:Na2BaCo(PO4)2单晶中子衍射数据。a-c:零磁场下30 mK衍射峰的出现,表明三子格序(固态序)的存在;d,f:实验观察到的95 mK时磁峰的位置和强度随磁场的演化;g: 理论计算的零温下固态序和超流序的序参量,其中超流序参量与f中非公度磁峰的行为相似;e:三个不同相中磁峰强度的温度依赖行为,表明自旋超固态有显著减小的有序磁矩和强烈的自旋涨落
此研究表明,利用阻挫量子磁性材料中与新奇量子物态相关的丰富低能激发和相应的量子临界物态调控,有可能获得高效的磁制冷效应。研究成果有望为极低温固态制冷提供新的思路和解决方案,运用于深空探测、量子科技等对极低温有重要需求的研究领域,缓解当前面临的全球氦资源短缺的问题。
该工作得到了国家自然科学基金、国家级青年人才项目、北航青年拔尖人才支持计划等项目以及怀柔综合极端条件实验装置的支持。
一起来认识一下
来自北航的优秀作者吧
共同第一作者

张传迪
北京航空航天大学物理学院博士研究生,导师为金文涛副教授。研究生期间,主要研究方向为三角晶格量子磁性材料的合成和磁性质研究,以第一作者身份在Journal of Alloys and Compounds上发表论文。曾获校优秀学术创新成果奖,北航校长奖学金等荣誉。

高源
北京航空航天大学物理学院博士研究生,导师为李伟研究员。研究生期间,主要研究方向为量子多体计算方法及其在量子磁性系统中的应用。以第一/共同第一作者身份发表论文包括npj Quantum Mater.、 Commun Phys、Chin. Phys. Lett.等。
共同通讯作者

金文涛
北京航空航天大学
物理学院副教授
博士生导师
国家级青年人才
课题组主要研究方向为利用中子散射和同步辐射方法,对量子磁性材料、非常规超导体等强关联电子材料的结构、磁性和元激发进行实验研究,以及极低温磁制冷材料的合成、表征和制冷新机理研究。迄今在物理学国际学术期刊上共发表论文57篇,含一作/通讯作者26篇(包括Nature 1篇,Physical Review系列16篇),主持国家自然科学基金面上项目、北航青年拔尖人才支持计划等研究项目7项,参与科技部重点研发计划子课题1项。
论文的原文链接:
https://www.nature.com/articles/s41586-023-06885-w
面向世界科技前沿
面向国家重大需求
北航青年人才队伍
于奋进中开拓创新
于探索中砥砺前行
为实现高水平科技自立自强
推进强国建设、民族复兴历史伟业
贡献北航力量!