
2022年是中国人民志愿军抗美援朝出国作战72周年。在伟大的抗美援朝战争中,19万7千多名中华民族优秀儿女英勇牺牲,在中华民族反抗外国侵略的历史上留下光辉一页。9月16至17日,第九批在韩中国人民志愿军烈士遗骸迎回安葬仪式在沈阳举行。中央广播电视总台辽宁总站特别推出“归来”系列,铭记历史、缅怀先烈,讲述志愿军故事,迎接英雄归来。
沈阳抗美援朝烈士陵园纪念馆
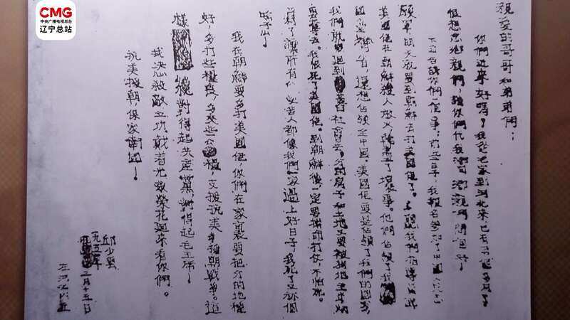
馆藏着很多志愿军烈士的家书

烈士们用一句句或朴实或振聋发聩的话语
写下一封封用青春和热血染红的
英雄战地家书
它们来自朝鲜 飞向祖国各地
是很多战士最后的绝笔

“到朝鲜后 我一定要拼命打仗 不怕死
为了让所有的受苦人
都像我们一家过上好日子
我死了算个啥子嘛”

这封家书 来自邱少云烈士
在写完这封家书仅仅一年多
邱少云就牺牲在了朝鲜战场的前沿阵地
牺牲之后 志愿军追授邱少云烈士为
一级战斗英雄 特等功臣
朝鲜民主主义人民共和国追授他
英雄称号 金星奖章和一级国旗勋章

一级战斗英雄孙生禄
生前任中国人民志愿军空3师9团1大队飞行员
曾数十次参加空战 击落敌机6架
击伤敌机1架 被誉为“勇敢的天鹰”

1952年12月3号 孙生禄执行空战任务时
独斗4架敌机 壮烈牺牲 年仅24岁
孙生禄牺牲前 时刻不忘家乡的亲人
写信叮嘱妹妹锻炼信心 努力进步

“我希望你今后给我写信的时候
最好能自己练习写 写好写坏都不要怕
自己应当有勇敢锻炼自己的信心才行”

沈阳抗美援朝烈士陵园
目前馆藏战地家书61封
本次英雄战地家书活动中
对外展出28封 很多都是首次展出

希望能够通过这些英雄战地家书
激发出人们心中的
英雄情结 英雄精神 英雄价值
并将之发扬光大
责任编辑:侯歆钰