“信还在,写信的人已经不在了。烈士有灵,他会看到他珍爱的祖国,他保卫的人民现在很好,很好!”
“真是一个温柔细心的哥哥,从信中能看到他对妹妹的关爱,对家人的不舍,但为了祖国,他毅然走上了保家卫国的战场。”
“真写得图文并茂,看了几眼,眼泪就止不住,每一封信里都说在上甘岭一切都好,战场上能好吗?”
近日,在江苏省宿迁市宿豫区,
多个小区展示栏上,
一组“表情包”家书海报,
吸引了众人的关注。
这是抗美援朝烈士李征明,
在硝烟弥漫的上甘岭战场,
给妹妹等家人写的信。
信中,
李征明手绘了许多“表情包”。
信中,饱含了他对幼妹的关爱,
以及深深的家国情怀。

李征明,原名李昕,1930年出生于宿迁县来龙区侍岭乡(现宿迁市宿豫区侍岭镇)李圩村,兄妹8人中排行老二。到了部队后自取新名“征明”,以示追求进步。1953年,李征明牺牲在抗美援朝的战场上。

“妹妹,我在上甘岭一切都好,不要挂念。我要努力读书,积极工作,坚决杀美国鬼子,争取立功戴上大红花,使得全家光荣。现在我已经戴上祖国人民赠送的勋章了,你看见恐怕也很高兴吧!我还正在争取戴上军功章回去见毛主席。”
用两座小山包替代“上甘岭”、一本书表达“读书”、“美国鬼子”则是一个面目狰狞的小人、妹妹是一个戴着红领巾的可爱小姑娘……
在1953年3月25日李征明烈士写给其妹妹李曼的这封信中,一共用到了数十个“表情包”,这一小段话就用了7个“表情包”,使得信件有趣而又生动。

“二哥入伍那一年,我还在念小学二年级,已经认得一些字,但是读完整封信还是有些难。”李曼告诉记者,李征明从小学到初中毕业一直品学兼优,参军前做过当时区政府的文书。他会画画、会拉胡琴、歌唱得好,顺理成章进入部队文工团。“所以他把我可能不认识的字用‘简笔画’替代,特别用心。”
“妹妹,你寄来的信我已收到了,希望你和八姐继续团结下去,好好读书,你们来信都说不要口琴,这个问题我已经寄信给大哥了,还要他买《新花木兰》给你们读……”

在屈指可数的几封信中,李征明最关心的是弟弟妹妹们的学习情况,多次提到购买文具和书籍给妹妹,并嘱咐姊妹之间“不要闹意见”“要听老师话”“要帮妈妈做家务”……
李征明偶尔也会向弟弟妹妹们提出期望,希望能多给他回信,收到信后,他也不掩饰自己的宽慰与快乐。
李曼介绍,其家庭是书香门第,礼教传家,父亲是小学教师,整个家庭氛围都重视教育,“我几个哥哥都是自学成才,他们对我们几个妹妹不仅仅是疼爱,在学习方面要求也非常严格。”

据了解,除了李征明,李曼的四哥也在朝鲜战场上负伤致残。“我三哥也积极报名参军去朝鲜战场,后来部队得知我家情况,把他强制送回家了。”
记者梳理李征明烈士已被公开的几封家书,他几次提到自己在上甘岭情况时都用“一切都好”一笔带过,后来,李曼从二哥战友寄来的信中才了解到二哥在战场上的真实情况。
“他怕家里亲人为他担心,所以从来不提自己在前线的真实情况。”李曼说,“长大后,我才知道二哥这些看上去很有趣味的信,都是在怎样恶劣的环境下写的。”李曼说,自己长大后,二哥的一位战友给家里写了一封信,描述了李征明在上甘岭前线的情况,自己才了解到战场的真实情况。
“战争很残酷,距离敌人600米左右,他们要在坑道里和敌人展开冷战。”李曼流着泪说。李征明在硝烟弥漫尘土飞扬的枪林弹雨中,奋勇抢救伤员,把自己的生命置之度外,在负伤后仍坚持战斗,不下火线,终因伤势过重,救治无效牺牲。正因如此,时隔多年后,她仍不敢看与抗美援朝相关的影视作品,“想看却不敢看,看了就会联想到二哥当时所处的环境。后来看到《上甘岭》那部电影,我就不能自已。”

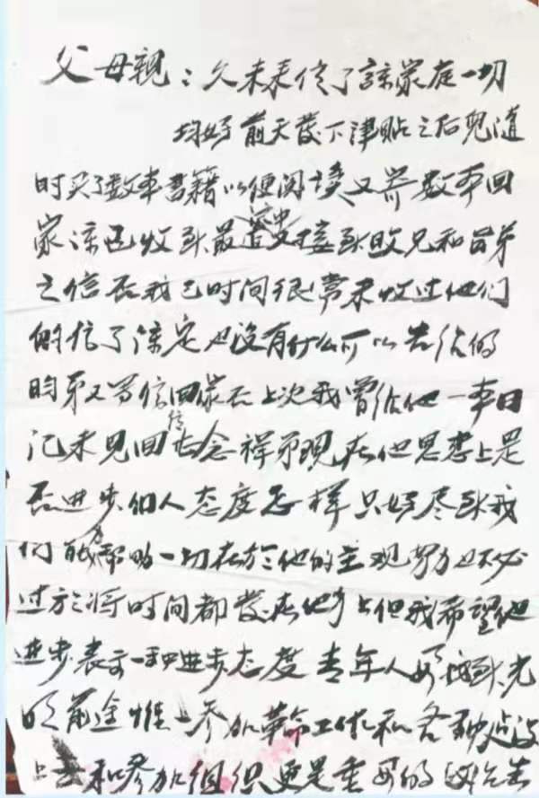
1951年3月21日,李征明给父母写了一封信。上面写道:“青年人要找到光明前途,惟有参加革命工作和各种建设上去,参加组织更是重要的。”
李曼说,自己曾珍藏的李征明所写的6封家书中,有3封是李征明写给她的,其他3封分别是写给父母、二姐和小妹的。“和我们写信,都是叮嘱我们好好学习,要听老师话,给父母写的信中则表达了他的革命信念和理想。”

“1953年4月3日,我们收到二哥最后一封家书。”李曼回忆,此后两个月,李母张训兰隔三差五就会跑到距家6里路的乡邮政局去问是否有儿子的来信,每次都空手而回。此后没多久,噩耗传来——李征明在前线牺牲,为国捐躯,年仅23岁。
李曼为了缅怀二哥,自家专门“出版”了一本纪念李征明的“文集”,更是把李征明当年对自己的教导传承为家风家训,让所有家庭成员铭记李征明的故事和精神。

“我家门前树很多,树上有鸟窝,我和八姐同去捉。这是二哥给我和妹妹读的‘诗’,我到现在都记忆深刻。”李曼回忆起幼时与二哥等几个兄妹之间的片段,哽咽失声。
“从信中可以看出,李征明是多么爱他的妹妹,爱他的亲人,多么热爱生活!”市民张女士在观看宣传海报后热泪盈眶,“我们今天的美好生活来之不易,我们要牢记这些为了祖国抛头颅、洒热血的英雄们。”

英雄不会被忘却。在烈士李征明的家乡——宿迁市宿豫区的大街小巷,他的家书、事迹被张贴在党史学习宣传栏上,无数市民前来瞻仰、缅怀。
“我得知二哥李征明的事迹被放到当地党史学习教育中,非常激动,家乡的人们还记得他。”李曼说。



