转眼间,暑假已过大半
NKUers的暑假日程进度如何?
是否坚持学习温故知新提升自我,
或是走出校园学习实践处处见真知,
或是背起行囊呼朋唤友追寻诗与远方?
怎样合理分配时间、提高效率呢?
一起来看看南开学子的暑假作息表吧!
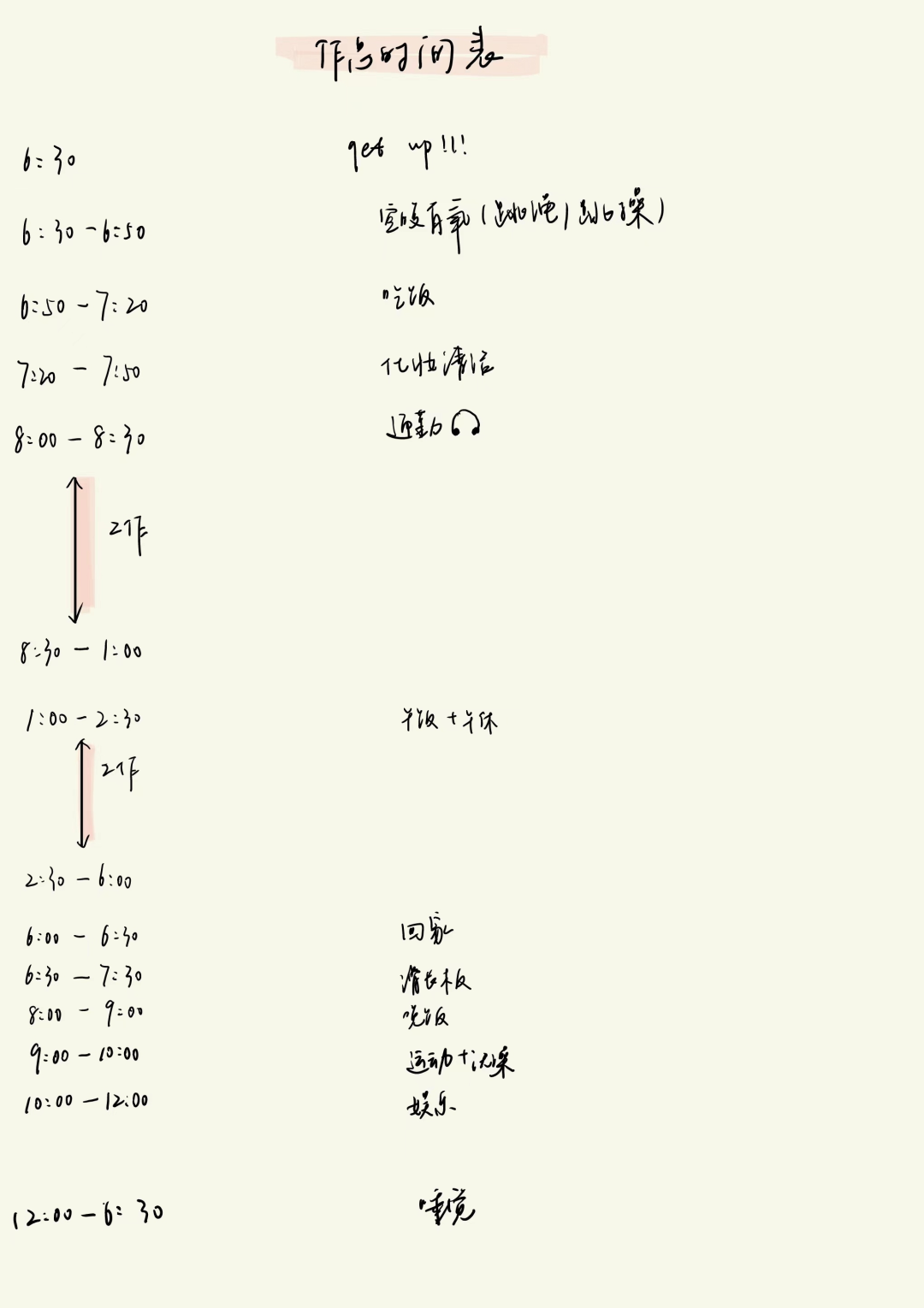
1
打卡复盘版
“贵有恒,何必三更眠五更起;最无益,只怕一日曝十日寒。”很多同学在假期之初制定了暑假计划,怎样才能提高执行力、坚持下去呢?每天打卡、复盘就是不错的选择。

“由于疫情的影响,我们春季学期的考试推迟了。在这样一段特殊的假期里,制定一些日程计划利于缓解备考焦虑,也十分利于实现劳逸结合,度过一个充实美好的假期。”
——2021级金融学院李嘉森

“在假期中,我经常用to-do list的方式进行每日的复盘,不管每天是不是都能打上勾,对我来说,这都是保证情绪稳定和美丽心情的有效方式。希望大家都有适合自己的方式,开开心心每一天。”
——2019级旅游与服务学院咔嚓咔嚓邦邦邦
2
温故知新版
复习与预习都是学习的重要过程,很多同学在假期制定了详细的作息表督促自己,坚持学习,查漏补缺,把握当下,不留遗憾!

“下学期就要大类分流了,刚好可以趁着期末的延期,好好规划各个学科的复习,争取冲进理想的专业。另外,可以趁着这个假期多多学习一些技能,劳逸结合才能提高效率!”
——2021级工科试验班李雨萌

“第一次尝试自己一个人生活,希望可以保持自律,并且get更多新技能,过得充实且自由。”
——2021级经济学院小汤

“有些焦虑下学期的开学考试,需要利用暑假好好准备,希望自己能把握好每一个当下。”
——2020级数学科学学院 Halmos
3
躬身实践版
“纸上得来终觉浅,绝知此事要躬行”。暑假,是实践的好时光。众多南开学子在实践中开拓视野、践行真知、增长经验。课堂之外,都大有天地,将理论付诸于实践的时光,都将化为前行的底气。

“这个假期,我有幸在投行实习。投行工作灵活性强、业务跨度大、竞争也十分激烈。这段经历,增强了我与人交流的能力和处理复杂问题的能力,也使我清晰地认识到,唯有自己强大起来,才能够赢得企业的信赖;唯有企业不断发展,自己才有更强大的底气扶持它接受市场的考验。”
——2020级金融学院刘柯含

“最漫长的暑假,也希望变成最充实的暑假!希望自己可以自律赚钱两不误!”
——2021级化学学院蛋蛋

“因为在实习,所以这个暑假大部分时间都在工作,但还是在自己能支配的时间里最大限度地满足自己啦。”
——2020级商学院一一
4
劳逸结合版
小扇引微凉,悠悠夏日长。暑假不仅是提升自我的机会,更要调整好自己的状态,在适当休息中放松身心。不妨放慢些节奏,劳逸结合,在空闲时间陪陪家人朋友,赏一次晚霞、看一部电影、玩一局游戏······

“这是我的暑假,每天过得充实又有趣,既要好好学习,又要保持热爱。这个暑假,我希望自己能坚持暑假计划,充实自己,多陪伴家人,开学时我会成为更好的自己。”
——2021级经济学院王紫棉

“疫情不方便出游,但也让我有机会去感受近在眼前的人间烟火气,把生活过成充实且快乐的每一天~”
——2021级商学院十七

“第一次这样度过一个暑假,希望21岁的自己可以获得更多的成长。”
——2019级周恩来政府管理学院马师傅

“假期就是要好好放松!开摆!”
——2022级化学学院不愿透露姓名的准硕士生
晴云轻漾,荷风送香
在多姿多彩的夏日
或是活力四射挥洒汗水
或是享受生活尽情欢笑
一张张作息表是暑假生活的注脚
每一滴汗水都见证努力
期待新学期再见时
大家都能迎接更出色的自己!