
时至今日,人类已与新冠病毒鏖战两年多。加快疫苗研发应用,提高疫苗接种率,构筑群体免疫屏障被寄予厚望。然而,随着新冠病毒变异毒株的接连出现,疫苗有效性及其更新迭代成为科学界必须及时解决的重要问题。
近日,一支来自中国的联合研究团队开展了一项基于天津430例奥密克戎阳性感染者临床数据的回顾性研究,科学验证了接种3剂灭活疫苗可显著降低奥密克戎感染者疾病严重程度,有效缩短病程,并通过真病毒中和实验证明了灭活疫苗针对奥密克戎变异株的持续有效性。这是首次报道的真实世界中灭活疫苗对奥密克戎变异株引起的新冠肺炎的保护性的科学评估,而真病毒中和实验结果对于中和抗体药物研发具有重要价值。
该联合研究团队由南开大学附属第一中心医院、昌平国家实验室、北京大学生物医学前沿创新中心、南开大学免疫学研究所、天津市肝胆疾病研究所、中国医学科学院基础医学研究所免疫学系、北京佑安医院、海军军医大学医学免疫学国家重点实验室的研究人员组成。他们以2022年1月8日至2月7日,天津确诊的430例奥密克戎(Omicron BA.1)感染的新冠肺炎患者为研究对象,将临床数据与新冠疫苗接种信息相结合,进行了一系列统计学分析。
这项研究工作中的430例新冠病毒感染者自天津市海河医院出院后,收治于南开大学附属第一中心医院水西院区进行隔离康复治疗。其中,成人患者316例(73.5%),中位年龄为47岁;未成年患者114例(26.5%),中位年龄为10岁。疾病严重程度以轻型(47.7%)和普通型(50.2%)为主,另有重型2例(0.5%)和无症状感染者7例(1.6%),无死亡病例。
研究人员发现,在新冠奥密克戎感染中,年龄的增加是疾病严重程度的独立危险因素。87.8%的未成年患者仅有轻微症状或无症状,而在成年人中轻症或无症状感染者比例仅为35.4%。未成年感染者均无需ICU治疗,且核酸转阴后复阳更少(12.3% V.S. 22.5%)。
“临床数据表明,年龄越高感染后症状越重,这提示我们重点加强中老年人群的疫苗防护可降低疫情对公众的健康损害。”南开大学附属第一中心医院副院长郑虹说。
在这430例感染者中,有341例(79.3%)接种了灭活疫苗(科兴中维和北京生物为主),49例(11.4%)接种了腺病毒载体疫苗(康希诺),2例(0.5%)接种了重组蛋白亚单位疫苗(智飞龙科马),38例(8.8%)未接种任何一种新冠疫苗。针对公众最为关心的疫苗有效性问题,该研究团队进行了科学分析。
统计数据显示,成人全程接种灭活疫苗及加强针能显著减轻临床症状的严重程度,减少ICU入住,降低核酸复阳率,并缩短住院和康复时间(平均缩短1-2天)。研究人员对患者核酸转阴后康复起始阶段的实验室检查结果分析后发现,接种灭活疫苗加强针的感染者更快进入了炎症消退期,他们的系统性免疫炎症指数、C反应蛋白水平和淋巴细胞比例相对更低。
“我们认为这些实验室指标标志着较低的炎症水平,说明3剂灭活疫苗的接种可能通过诱导炎症转归的方式,缩短新冠肺炎病程。”南开大学附属第一中心医院副院长蒋文涛说。
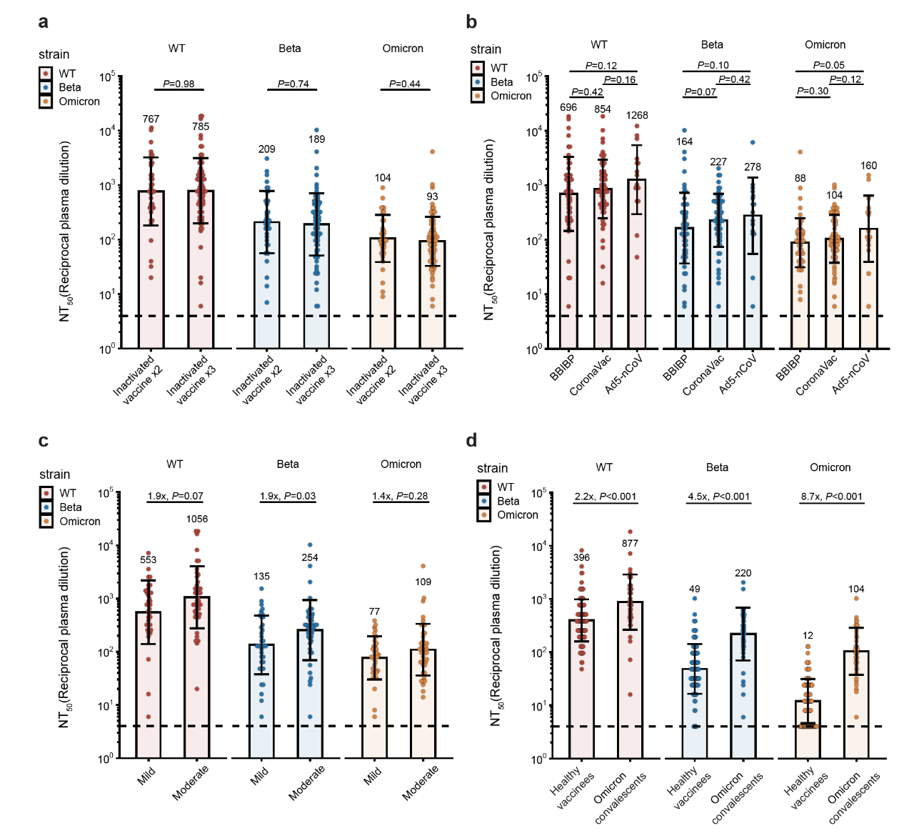
为了进一步验证新冠灭活疫苗的保护效力,研究团队通过新冠病毒真病毒中和实验测定了奥密克戎感染康复者血浆中和抗体滴度。
实验结果表明,接受3剂次灭活疫苗的感染者针对原始株的50%中和滴度(NT50)的几何平均值分别是针对贝塔和奥密克戎的NT50的4.2倍和8.4倍。普通型患者的血浆中和滴度高于轻症患者。与接种三剂科兴灭活疫苗的健康人相比,接种三剂灭活疫苗的突破感染者对奥密克戎的中和效价大幅增加(8.7倍),对贝塔(4.5倍)和原始株(2.2倍)也存在交叉免疫。

真病毒中和实验揭示突破感染者对SARS-CoV-2 原始株和奥密克戎等变体的体液免疫反应
“实验表明,在接种灭活疫苗加强针3个月后,机体仍存在着一定的针对奥密克戎的中和抗体,而突破感染者形成了强烈的针对奥密克戎的体液免疫屏障,这对于研制针对奥密克戎株与未来新变异株的中和抗体药物具有极为关键的意义。”南开大学免疫学研究所博士后陈筱素说。
该研究还对天津应对奥密克戎疫情的防疫经验进行了总结。“作为中国大陆首个迎战奥密克戎的城市,在没有前例可循的情况下,天津采取积极果断的防控措施,落实‘早发现、早报告、早隔离、早治疗’,前移防控关口,借助大数据平台及时阻断传染源、切断传播途径,短时高效地控制住了奥密克戎疫情,切实保护了人民群众的身体健康和生命安全,践行了人民至上、生命至上的理念。我们认为,天津为快速阻击奥密克戎创造了宝贵经验。”该研究工作负责人、南开大学附属第一中心医院院长沈中阳说。



